COPPIA MOTRICE: COS’È E COME RISOLVERE GLI ESERCIZI
In questo riassunto troverai la definizione di coppia motrice e una guida su come risolvere gli esercizi – Per arrivare a comprendere cos’è una coppia motrice è utile partire dalla comprensione di cosa sia una coppia. In generale una coppia è una combinazione di due forze parallele, con verso opposto e che hanno lo stesso modulo, distanti di una certa quantità chiamata braccio; esse danno luogo ad un momento, in grado di far ruotare l’oggetto su cui sono applicate. Un esempio pratico di ciò è la forza che si applica al volante di una macchina o al manubrio di una bicicletta per farlo ruotare, ovvero le nostre mani applicano due forse opposte in grado di far ruotare il manubrio, questa sarà una coppia motrice (che può essere applicata anche con una mano sola).
COS’È LA COPPIA MOTORE IN MECCANICA
Nello specifico in meccanica, la coppia motrice è il momento meccanico (l’attitudine di una forza a far ruotare un corpo, se questa non è applicata nel centro di massa) che il motore imprime sugli organi di trasmissione, che poi trasmetteranno il moto alle ruote. Per comprendere meglio è utile capire quale sia questa forza che genere la coppia motrice, che dipenderà dal tipo di motore utilizzato. Nelle automobili di uso comune, quindi con i motori a combustione interna, la forza sarà data dallo scoppio della miscela di aria e combustibile che si va ad abbattere sul pistone il quale collegato ad un sistema biella-manovella (che sarà il nostro braccio) mette in moto l’albero. In un motore elettrico la forza che produce la coppia motrice sarà data dal movimento relativo tra parte statorica e rotorica, che fa nascere forze elettromagnetiche.
FORMULA COPPIA MOTRICE
La coppia motrice, essendo una forza per un braccio, si misurerà in Newton per metri [Nm], ed è utilizzata per il calcolo della potenza [W] che è in grado di erogare un motore. Difatti coppia è potenza sono legate dalla seguente relazione:
Pm = Cm x ω *
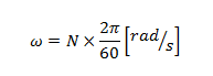
Dove ω è la velocità angolare [radianti al secondo] del corpo che può essere espressa in numero di giri al minuto N [rpm].

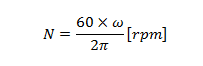
Inversamente:

ESERCIZI COPPIA MOTORE: ESEMPIO
Immaginiamo un motore elettrico collegato tramite cinghia ad una puleggia. Conosciamo la potenza, il numero di giri e il diametro del motore; della puleggia conosciamo il diametro. Trovare la coppia motrice, coppia e potenza trasmessa alla puleggia.
Dati:
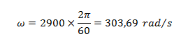
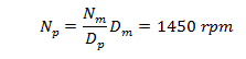
Pm= 368 W; Nm=2900 rpm; Dm= 5cm = 0,05m; Dp= 10cm = 0,10m.
Svolgimento:
Avendo il numero di giri possiamo subito trovare la velocità angolare

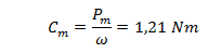
Da qui troviamo la coppia motrice (applicando la formula inversa di *)

Ora conoscendo i diametri e il numero di giri del motore, sapendo che il rapporto tra numero di giri e diametri è inversamente proporzionale abbiamo:

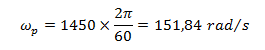
Quindi la velocità angolare della puleggia sarà:

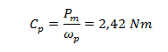
Diciamo inoltre che la potenza nella puleggia, in assenza di perdite, è la stessa del motore, quindi possiamo trovare la coppia:
