LAVORO ED ENERGIA. È possibile trattare problemi di dinamica tramite il concetto di energia, quindi tramite la dipendenza dallo spazio e non più dal tempo come avviene sfruttando le equazioni del moto e le leggi della dinamica. Per questo è importante capire cos’è l’energia e come essa è legata al concetto di lavoro.
“L’energia misura la capacità di un corpo o sistema fisico di compiere lavoro, a prescindere che esso sia effettivamente realizzabile o meno.”
L’energia si manifesta in varie forme, ma in generale è possibile racchiuderle in sue grandi categorie: energia elettromagnetica ed energia meccanica; quest’ultima suddivisibile in energia cinetica (propria dei corpi in movimento) ed energia potenziale (associata ai corpi in quiete).
“Il lavoro è il trasferimento di energia cinetica tra due sistemi sotto l’azione di una forza o una risultante di forze.”
Quindi il lavoro che si fa su un corpo è pari alla variazione della sua energia cinetica, ma se siamo in presenza di forze conservative esso è pari alla differenza di energia potenziale tra stato finale e iniziale.
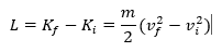
Questi concetti li troviamo uniti nel Teorema dell’energia cinetica (o delle forze vive): un corpo avente energia iniziale Ki e una forza agisce su di esso, allora l’energia cinetica finale Kf è data da quella iniziale più il lavoro compiuto dalla forza per muovere il corpo.

Quando abbiamo forze conservative invece abbiamo:
L=Ui-Uf=-?U
Il lavoro è pari all’opposto della variazione di energia potenziale.
Mettendo insieme queste due conclusioni arriviamo a definire quello che è il Principio di conservazione dell’energia meccanica: la somma dell’energia cinetica e potenziale di un corpo sottoposto a forze conservative resta costante durante tutto il moto.
Eguagliando le due relazioni:
Kf-Ki=Ui-Uf
Ui+Ki=Uf+Kf=E=cost
Come scritto prima poiché si intende per energia l’attitudine di un corpo a compiere lavoro, la misura dell’energia costituisce anche una misura del lavoro che il corpo stesso è in grado di compiere. Infatti nel sistema internazionale (SI) hanno la stessa unità di misura il joule J.
[J]=1 N m=1 Kg m2 s-2